"Статистика: учебное пособие" - читать интересную книгу автора

1.2. Методы измерения обобщающих характеристик совокупности

Метод группировок позволяет изучить состояние и взаимосвязи экономических явлений, если группы будут охарактеризованы показателями, раскрывающими наиболее существенные стороны изучаемого явления.

При анализе и планировании необходимо опираться не на случайные факты, а на показатели, выражающие основное, типичное, коренное. Такую характеристику дают различные виды средних величин, а также мода и медиана.

Вопрос об однородности совокупности не должен решаться формально по форме ее распределения. Его, как и вопрос о типичной средней, нужно решать, исходя из причин и условий, формирующих совокупность. Однородной является такая совокупность, единицы которой формируются под воздействием общих главных причин и условий, определяющих общий уровень данного признака, характерный для всей совокупности.

Согласно теории типологических группировок, решающее значение в оценке однородности совокупности принадлежит не форме распределения, а размеру вариации и условиям ее формирования. Для качественно однородной совокупности характерна вариация в определенных пределах, после чего начинается новое качество. Вместе с тем к этим границам для оценки качественной однородности совокупности надо подходить с точки зрения существа дела, а не формально, так как одно и то же количество в разных условиях выражает новое качество. Например, при одной и той же численности рабочих предприятия одних отраслей промышленности являются крупными, а других – мелкими.

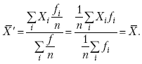
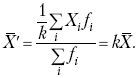
Для всестороннего и углубленного изучения явлений, для объективной характеристики типов явлений, их взаимоотношений и процессов, обусловленных развитием системы как целого, необходимо сочетать групповые средние с общими средними. Сочетание таких средних и является одним из основных элементов анализа сложных систем. Это сочетание связывает в одно целое два органически дополняющих друг друга статистических метода: метод средних величин и метод группировки. При расчете средней индивидуальные варьирующие по группе значения заменяются одним средним значением. При этом случайные отклонения значения признака по отдельным единицам в сторону увеличения или уменьшения взаимно уравновешиваются и погашают друг друга, а в величине средней проявляется типичный размер признака, свойственный данной группе. Средняя величина служит характеристикой совокупности и в то же время относится к отдельному ее элементу – носителю качественных особенностей явления. Значение средней вполне конкретно, но одновременно и абстрактно; оно получено путем абстрагирования от случайного индивидуального по каждой единице с целью выявления того общего, типичного, что свойственно всем единицам и что формирует данную совокупность. При расчете средней величины численность единиц совокупности должна быть достаточно большой. Величина средней определяется как отношение общего объема явлений к числу единиц совокупности в группе. Для несгруппированных данных это будет средняя арифметическая простая:

а для сгруппированных данных, где каждое значение признака имеет свою частоту, – средняя арифметическая взвешенная:

где Xi – значение признака; fi – частота этих значений признака.

Поскольку средняя арифметическая рассчитывается как отношение суммы значений признака к общей численности, она никогда не выходит за пределы этих значений. Средняя арифметическая обладает рядом свойств, которые широко используются в целях упорядочения расчетов.

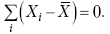
1. Сумма отклонений индивидуальных значений признака от средней величины всегда равна нулю:

Доказательство. n

Разделив левую и правую часть на

 получим:

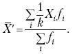
2. Если значения признака (Xi) изменить в k раз, то средняя арифметическая также изменится в x раз.

Доказательство.

Среднюю арифметическую из новых значений признака обозначим X, тогда:

Постоянную величину 1/k можно вынести за знак суммы, и тогда получим:

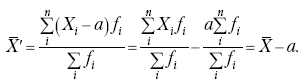
3. Если из всех значений признака Xi вычесть или прибавить одно и то же постоянное число, то средняя арифметическая уменьшится или увеличится на эту величину.

Доказательство.

Средняя из отклонений значений признака от постоянного числа будет равна:

Точно так же доказывается это и в случае прибавления постоянного числа.

4. Если частоты всех значений признака уменьшить или увеличить в n раз, то средняя не изменится:

При наличии данных об общем объеме и известных значениях признака, но неизвестных частотах для определения среднего показателя используют формулу среднеарифметической взвешенной.

Например, имеются данные о ценах реализации капусты и общей выручке за различные сроки реализации (табл. 1).

Таблица 1.

Цена реализации капусты и общая выручка за различные сроки реализации

Так как средняя цена представляет отношение общей выручки к общему объему реализованной капусты, то вначале следует определить количество реализованной капусты по разным срокам реализации как отношение выручки к цене, а затем уже определить среднюю цену реализованной капусты.

В нашем примере средняя цена будет:

Если рассчитать в данном случае среднюю цену реализации по средней арифметической простой, то получим иной результат, который исказит истинное положение и завысит среднюю цену реализации, так как не будет учтен тот факт, что большая доля в реализации приходится на позднюю капусту с более низкой ценой.

Иногда требуется определить среднюю величину, когда значения признака даются в виде дробных чисел, т. е. обратных целым числам (например, при изучении производительности труда через обратный его показатель, трудоемкость). В таких случаях целесообразно использовать формулу средней гармонической:

Так, среднее время, необходимое для изготовления единицы продукции, есть средняя гармоническая. Если Х1 = 1/4 часа, Х2 = 1/2 часа, Х3 = 1/3 часа, то средняя гармоническая этих чисел есть:

Для расчета средней величины из отношений двух одноименных показателей, например темпов роста, применяется средняя геометрическая, рассчитанная по формуле:

где Х1× Х2 … × … Х4 – отношение двух одноименных величин, например цепных темпов роста; n – численность совокупности отношений темпов роста.

Рассмотренные средние величины обладают свойством маорантности:

Пусть, например, имеем следующие значения Х (20; 40), тогда рассмотренные ранее виды средних величин будут равны:

При изучении состава совокупности о типичном размере признака можно судить по так называемым структурным средним – моде и медиане.

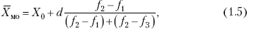
Модой называется наиболее часто встречающееся значение признака в совокупности. В интервальных вариационных рядах сначала находят модальный интервал. В найденном модальном интервале мода рассчитывается по формуле:

где Х0 – нижняя граница модального интервала; d – величина интервала; f1, f2, f3 – частоты предмодального, модального и послемодаль-ного интервалов.

Значение моды в интервальном ряду довольно просто можно отыскать на основе графика. Для этого в самом высоком столбце гистограммы от границ двух смежных столбцов проводят две линии. Из точки пересечения этих линий опускают перпендикуляр на ось абсцисс. Значение признака на оси абсцисс и будет модой (рис. 2).

Рис. 2

Для решения практических задач наибольший интерес представляет обычно мода, выраженная в виде интервала, а не дискретным числом. Объясняется это назначением моды, которая должна выявить наиболее распространенные размеры явления.

Средняя – величина, типичная для всех единиц однородной совокупности. Мода – тоже типичная величина, но она определяет непосредственно размер признака, свойственный хотя и значительной части, но все же не всей совокупности. Она имеет большое значение для решения некоторых задач, например для прогнозирования того, какие размеры обуви, одежды должны быть предназначены для массового производства, и т. д.

Медиана – значение признака, находящееся посредине ранжированного ряда. Она указывает на центр распределения единиц совокупности и делит ее на две равные части.

Медиана является лучшей характеристикой центральной тенденции, когда границы крайних интервалов открыты. Медиана является более приемлемой характеристикой уровня распределения и в том случае, если в ряду распределения имеются чрезмерно большие или чрезмерно малые значения, которые оказывают сильное влияние на среднюю величину, а на медиану – нет. Медиана, кроме того, обладает свойством линейного минимума: сумма абсолютных значений отклонений величины признака у всех единиц совокупности от медианы минимальная, т. е.

Это свойство имеет большое значение для решения некоторых практических задач – например, для расчета самого короткого из всех возможных расстояний для разных видов транспорта, для размещения станций техобслуживания таким образом, чтобы расстояние до всех обслуживаемых данной станцией машин было минимальным, и т. п.

При отыскании медианы сначала определяется ее порядковый номер в ряду распределения:

Далее, соответственно порядковому номеру, по накопленным частотам ряда находят саму медиану. В дискретном ряду – без всякого расчета, а в интервальном ряду, зная порядковый номер медианы, по накопленным частотам отыскивается медианный интервал, в котором путем простейшего приема интерполяции определяется уже значение медианы. Расчет медианы осуществляется по формуле:

где Х0 – нижняя граница медианного интервала; d – величина интервала; f _ 1 – частота, накопленная до медианного интервала; f – частота медианного интервала.

Рассчитаем среднюю величину, моду и медиану на примере интервального распределения. Данные приведены в табл. 2.

Таким образом, в качестве центра распределения могут быть использованы различные показатели: средняя величина, мода и медиана,

и каждая из этих характеристик имеет свои особенности. Так, для средней величины характерно то, что все отклонения от нее отдельных значений признака взаимно погашаются, т. е.

Для медианы характерно то, что сумма отклонений индивидуальных значений признака от нее (без учета знаков) является минимальной. Мода же характеризует наиболее часто встречающееся значение признака. Поэтому в зависимости от того, какая из особенностей интересует исследователя, и должна выбираться одна из рассмотренных характеристик. В отдельных случаях рассчитываются все характеристики.

Их сравнение и выявление соотношений между ними помогает выяснить особенности распределения того или иного вариационного ряда. Так, в симметричных рядах, как в нашем случае, все три характеристики (средняя, мода и медиана) примерно совпадают. Чем больше расхождение между модой и средней величиной, тем более асимметричен ряд. Установлено, что для умеренно асимметричных рядов разность между модой и средней арифметической примерно в три раза превышает разность между медианой и средней арифметической:

Это соотношение можно использовать для определения одного показателя по двум известным. Из этого следует, что сочетание моды, медианы и средней важно и для характеристики типа распределения.