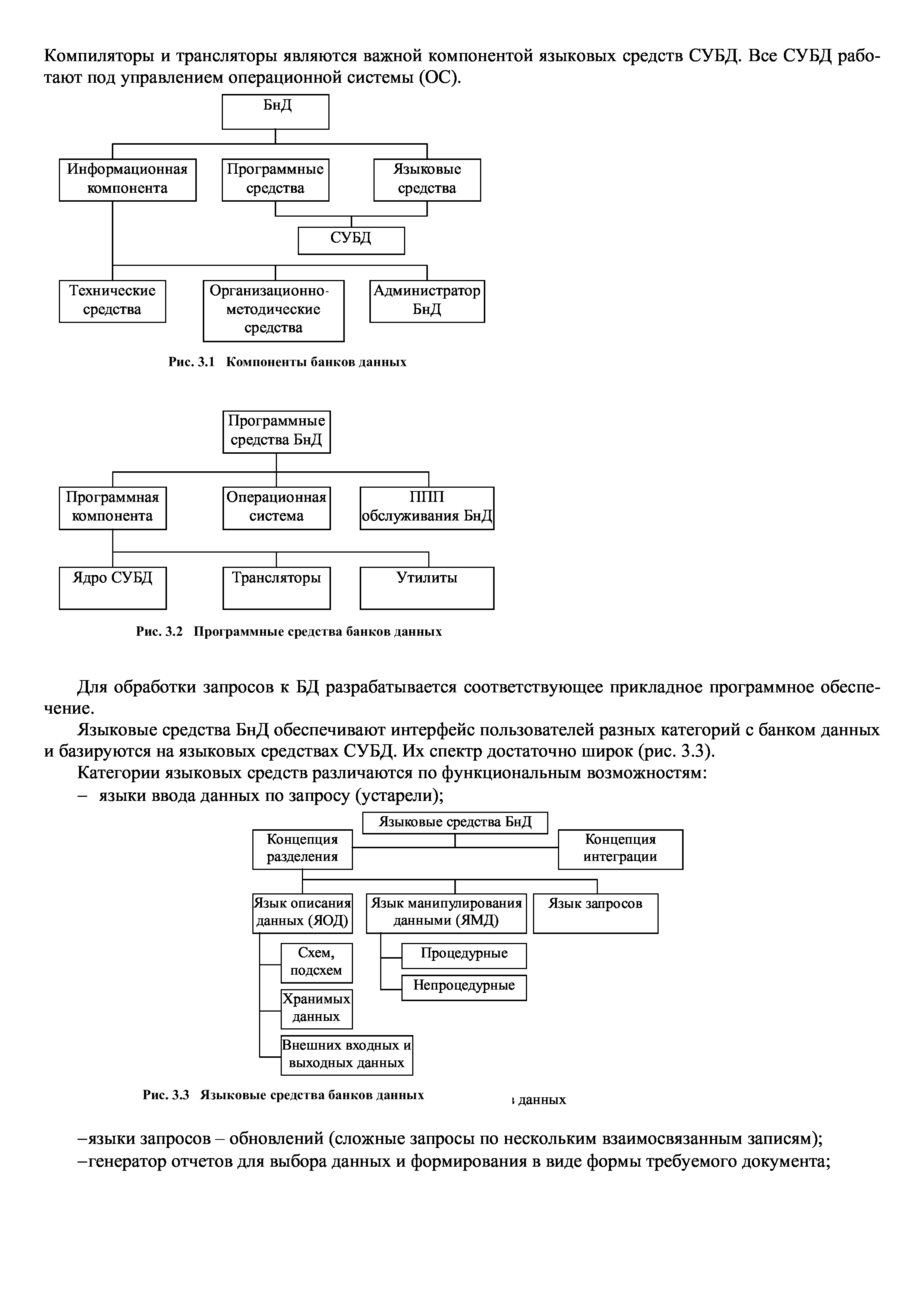
"Базы данных. Язык SQL" - читать интересную книгу автора (Дьяков И.А.)