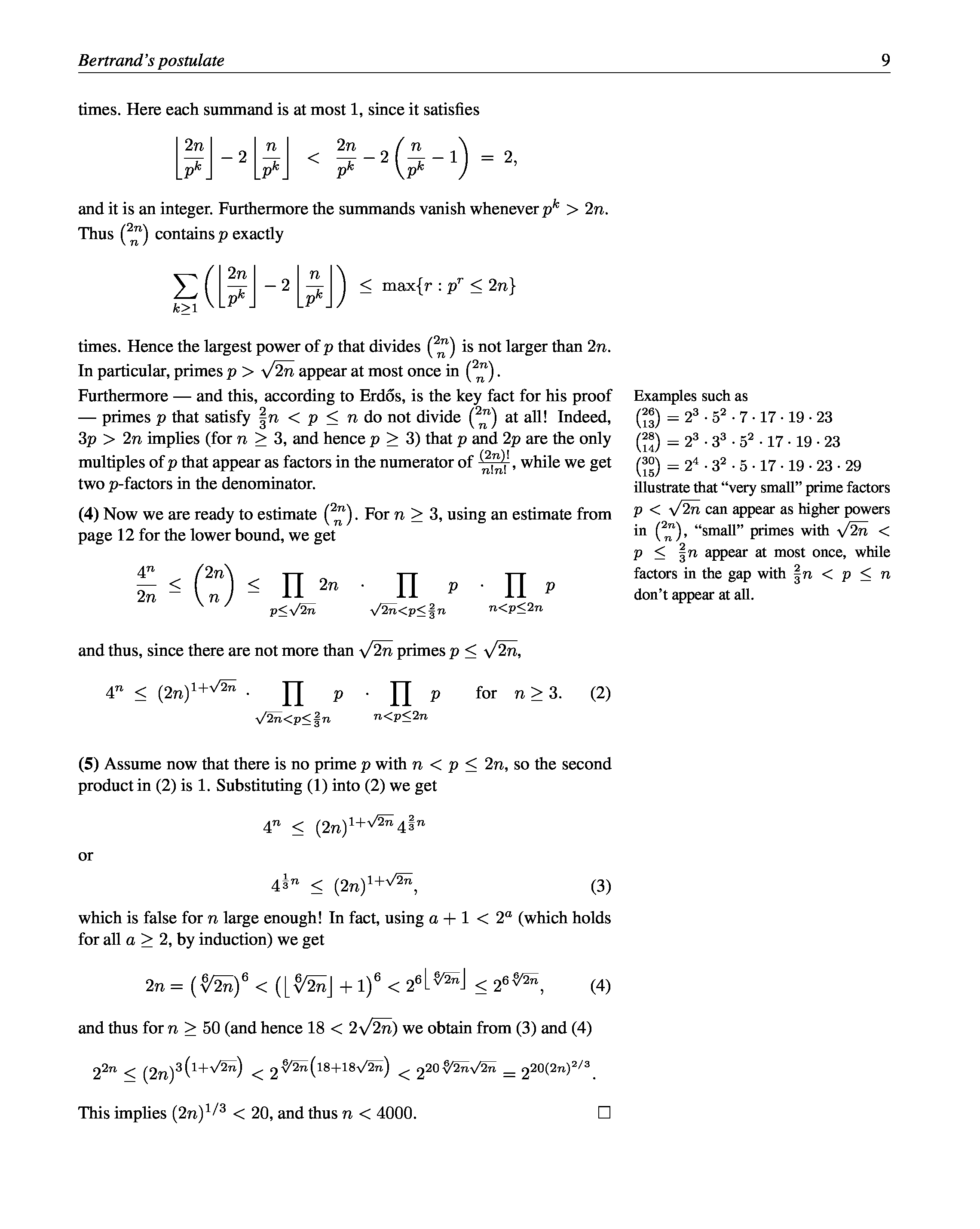
"Proofs from THE BOOK" - читать интересную книгу автора (Martin Aigner, Günter M. Ziegler, Karl H. Hofmann)