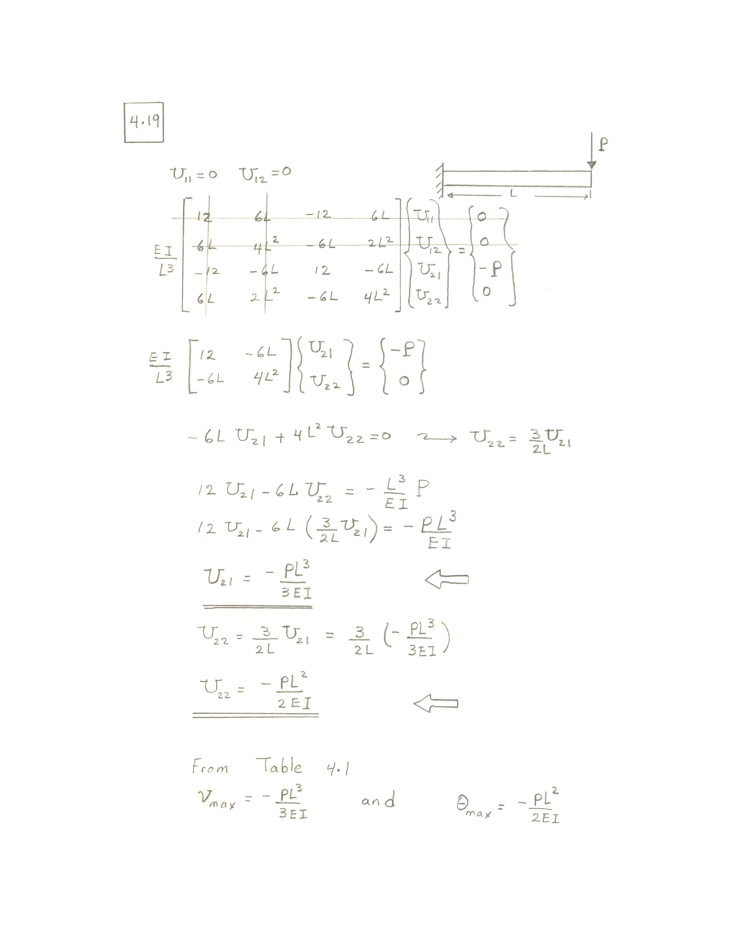
"Finite Element Analysis Theory and Application with Ansys" - читать интересную книгу автора ( )