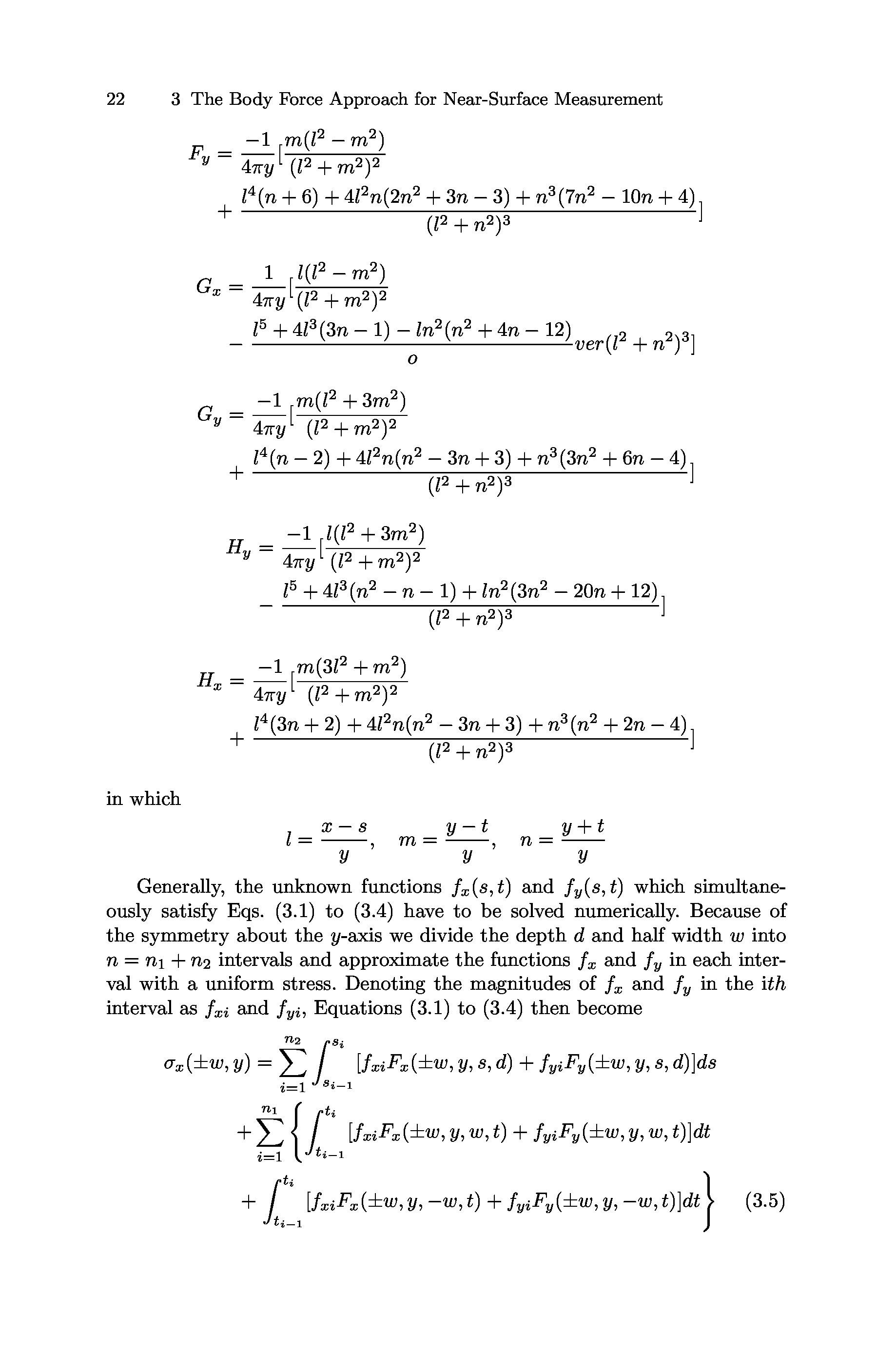
"Residual stress measurement and the slitting method" - читать интересную книгу автора (Weili Cheng, Iain Finnie)