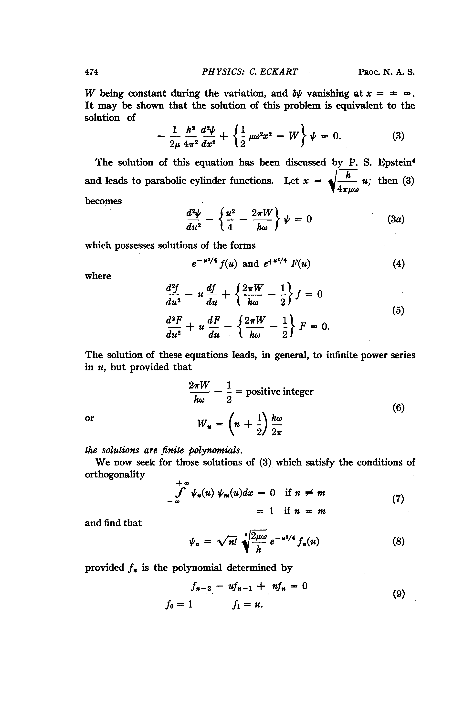
Главная
"The Solution of the Problem of the Simple Oscillator by a Combination of the Schroedinger and the Lanczos Theories" - читать интересную книгу автора
(Eckart C.)
1
2
3
4
1
2
3
4
© 2026 Библиотека RealLib.org
(support [a t] reallib.org)