Главная
"Программная инженерия. Конструирование программного обеспечения. Software Construction" - читать интересную книгу автора
(Орлик С.)
1
2
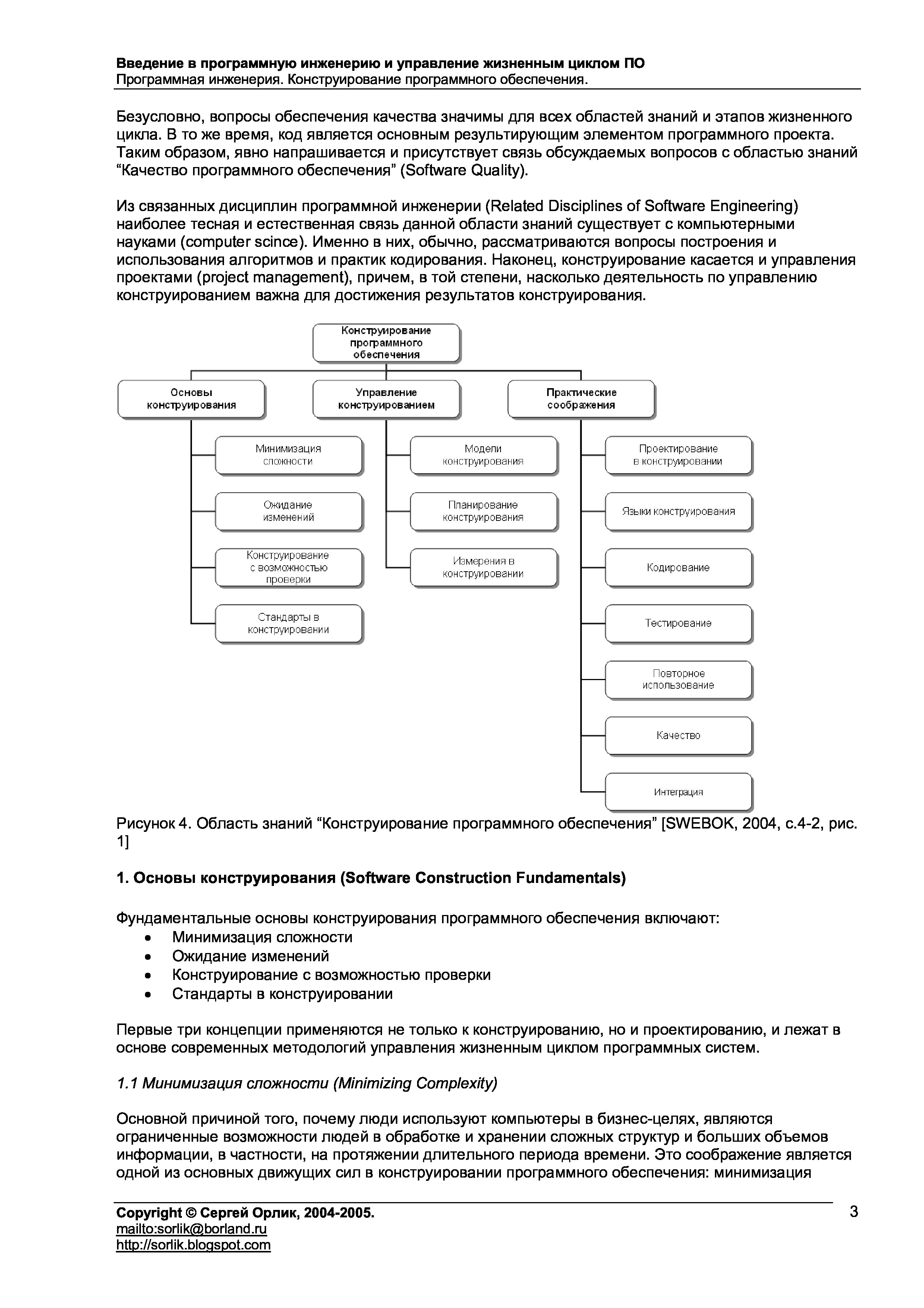
3
4
5
6
7
8
9
10
1
2
3
4
5
6
7
8
9
10
© 2026 Библиотека RealLib.org
(support [a t] reallib.org)