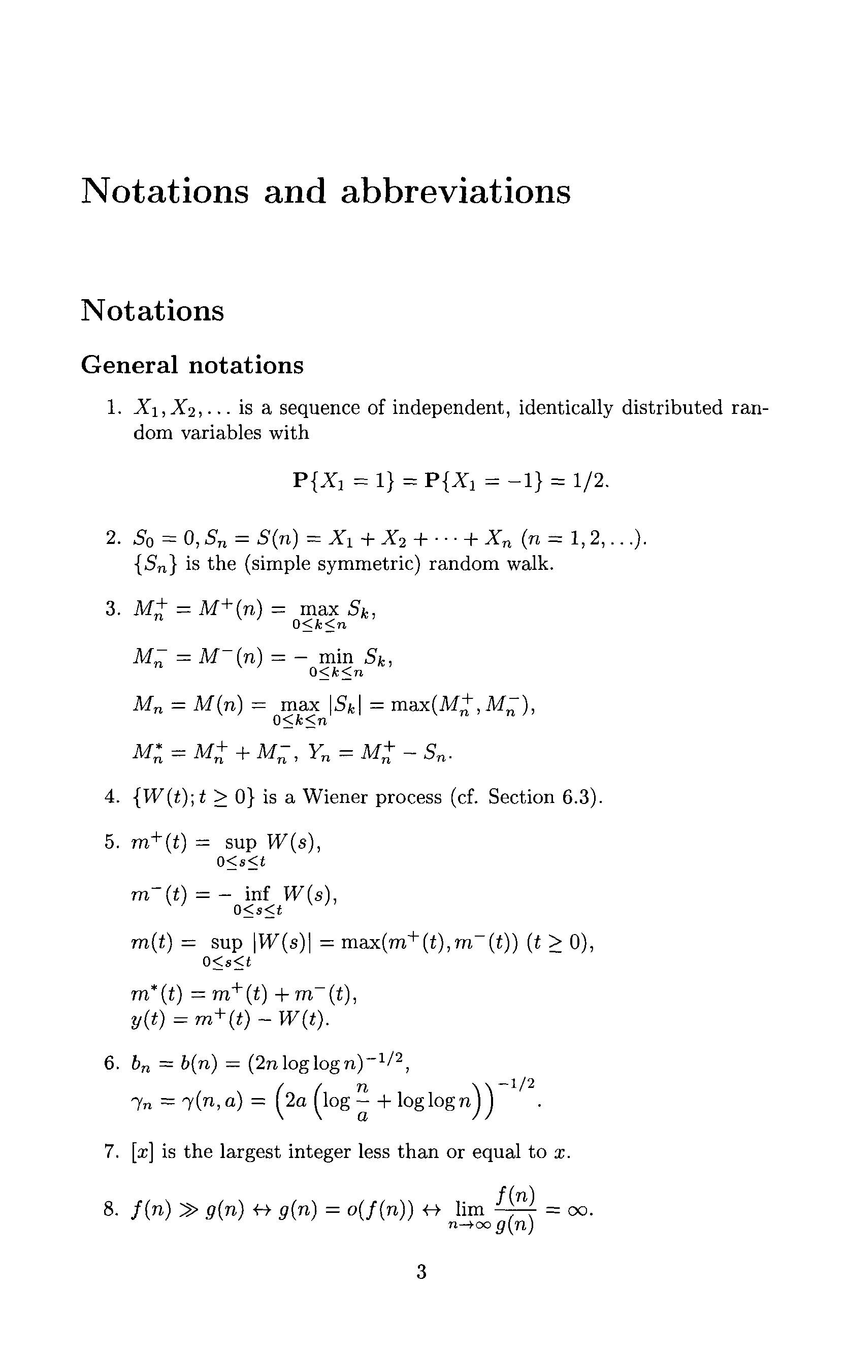
"Random Walk in Random and Non-Random Environments" - читать интересную книгу автора (Pal Revesz)