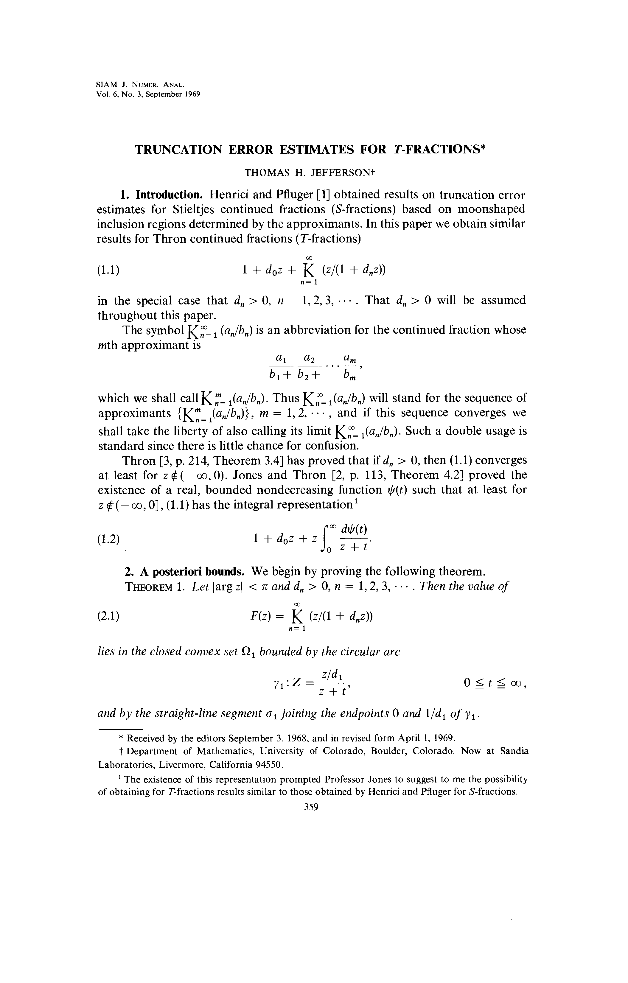
"Truncation error estimates for T-fractions (SIAM JNA 1969)" - читать интересную книгу автора (Jefferson.)