Главная
"Real parts of zeros of complex polynomials, applications to continued fraction expansions" - читать интересную книгу автора
(Frank.)
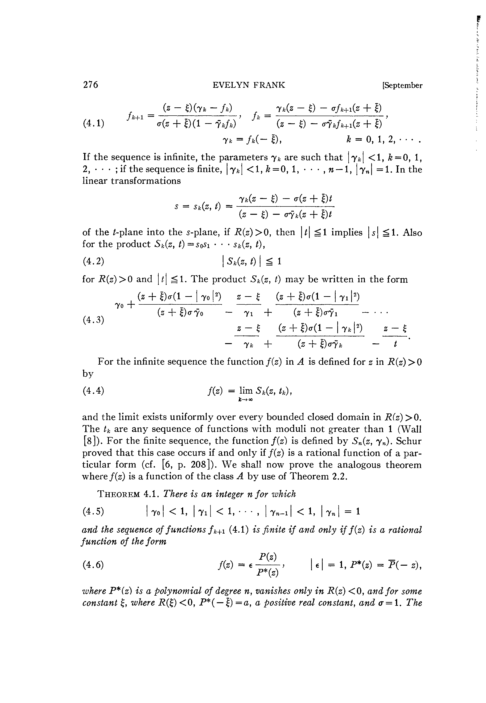
1
2
3
4
5
6
7
8
9
10
11
12
13
1
2
3
4
5
6
7
8
9
10
11
12
13
© 2026 Библиотека RealLib.org
(support [a t] reallib.org)