"К Барьеру! (запрещённая Дуэль) №8 от 23.02.2010" - читать интересную книгу автора (К барьеру! (запрещенная Дуэль))

ПОЛИТИКА И ЭКОНОМИКА

УМЕРЩВЛЕНИЕ РОССИИ

Просим опубликовать на страницах газеты «К барьеру!» нашу статью. Ни одно СМИ не решилось ее напечатать, так как власть и продажная пресса боятся правды. Один из авторов статьи - А.С. Матвеев, замечательный человек, охотовед, эколог, писатель (автор более десяти книг о животном мире Южного Урала)в настоящее время в тяжелом состоянии лежит в онкодиспансере... Южноуральцы больше других соотечественников являются заложниками и жертвами экогеноцида. Помогите достучаться до власти. Авторы

Администрация Челябинской области бьет тревогу. В Шершневскем водохранилище, выше водозабора, в единственном питьевом источнике Челябинска и других соседних городов – идет сброс куриного помета («Вечерний Челябинск», №23, от 23. 09. 2009 г.). По объему такой сброс не может принадлежать частному подворью. Скорее всего, это отходы птицефабрики, расположенной на берегу р. Миасс.«И это дерьмо, - как заявил заместитель главы города Челябинска С.В. Давыдов,- сбрасывается систематически, что серьезно угрожает здоровью населения почти половины жителей области, пьющих воду из Шершневского водохранилища!»

Некоторые специалисты при этом утверждают, что ничего страшного в этом нет (?!) Просто при подготовке воды, перед отправкой ее по водоводу на станции очистки, добавляется больше очистительных адсорбентов, и вода к жителям мегаполиса поступает нормальной.

Удивительна сила официальной информации. Еще в июле этого года поступалиответы на возмущенные обращения жителей Челябинска по поводу того, что вода из кранов в квартирах пахнет хлоркой и дустом. И те же специалисты говорили, что ничего особенного не происходит – в водохранилище цветут сине-зеленые водоросли, несущие этот запах. Бороться с ними невозможно, их можно только отгонять от водозабора путем «отгона»(?). А пока надо «ждать», скоро водоросли опустятся на дно и все поправится.

Удивительно, но жители успокоились!

Но почему в Шершнях так бурно произрастают эти водоросли и разве грязь, которая попадает в Шершневское водохранилище и в р. Миасс, не является первопричиной такого бедствия? Именно этими антропогенными отходами питаются сине-зеленые водоросли!

Насколько опасно это для здоровья населения?

Вот оценка роли сине-зеленых водорослей, данная учеными Челябинска Коломиец С.Е., Бессоновой С.П., Ячменевым В.А. Они отмечают, что развитие токсичных цианообразований (сине-зеленых водорослей) в поверхностных водоемах, таких, как Шершневское водохранилище, может явиться причиной отравления людей и животных, а также причиной развития рака печени. На основании исследований в соответствии с классификацией Всемирной организации здравоохранения (ВОЗ) 60% цианообразований Шершневского водохранилища характеризуются как высокотоксичные (Собрание докладов областной научно-практической конференции «Охрана водных объектов Челябинской области», Челябинск, 2007).

Шершневское водохранилище является федеральной собственностью. В области есть Федеральные службы, которые должны обеспечивать экологическую безопасность этого объекта. Но, увы, роль этих служб в судьбе Шершневского водохранилища незаметна!

Кто и какую дрянь валит в Шершневское водохранилище – питьевой источник миллионного города, - должны разобраться правоохранительные органы.

Но вопрос заключается не только в этом.

Как стало возможным, что миллионный Челябинск до сих пор не имеет, как это есть во всех городах-миллионниках, резервного водохранилища? Почему этот источник питьевого водоснабжения мегаполиса до сих пор не имеет надлежащей и утвержденной правительством зоны санитарной охраны (ЗСО), предусмотренной законом (СанПиН)? Нет действующего нормативного документа – нет и охраны! И эти вопросы мы адресуем правительству области. Ссылки некоторых чиновников на то, что в 1974 году такая зона была утверждена (еще в РСФСР), за давностью лет совершенно несостоятельны. Да и в натуре зона никогда не оформлялась.

Сегодня в области много пишут о якобы принятой программе «Чистая вода». Ее стоимость 10 млрд. руб. Но почему программа лежит «под сукном»? Или это очередное мероприятие правительства области по «спусканию пара»? Огромные средства должны пойти по назначению, а это значит, что программа должна быть доведена до жителей области. Деньги, вложенные в программу, - это деньги жителей, налогоплательщиков, и они вправе знать, как и куда они расходуются, а также иметь возможность контролировать практически реализацию этой программы, ибо права и обязанности по этой программе принадлежат не только чиновникам, но и рядовым гражданам! Каждый должен знать, что через 10 лет Южный Урал может оказаться в ситуации практически полного отсутствия пригодной для питья воды («АиФ», №39 от 23.09.09 г.).

Такова водная составляющая среды обитания жителей Челябинского мегаполиса.

И, согласитесь, она агрессивна.

Насколько лучше экологическое состояние воздушного бассейна Челябинского мегаполиса?

По данным комплексного доклада Министерства радиационной и экологической безопасности Челябинской области «О состоянии окружающей природной среды Челябинской области» за 2007 год (стр. 15) за последние 6 лет (2002 - 2007 гг.), в Челябинске выбросы загрязняющих веществ от стационарных источников увеличились на 21,2 тыс. т (со 123,3 тыс. т в 2001 г. до 147,1 тыс. т в 2007 г.), или на 16,2%. В атмосфере города содержится богатый букет всевозможных выбросов, в том числе такие опасные для здоровья вещества, как формальдегид и бензопирен, среднегодовые концентрации которых превышали допустимый уровень в 3 раза, а также фторид водорода, содержание которого в атмосфере Челябинска в 1,2 раза превышало допустимую норму. В этом же списке оксид углерода, оксид азота, фенол, сероводород, аммиак, свинец, марганец, кадмий и другие загрязняющие вещества.

Огромные объемы этих вредных веществ жители Челябинска постоянно ощущают на себе. Уже стало нормой по субботам и воскресеньям окна в квартирах не открывать. Тяжелый смог с запахом окалины тут же заполняет всю квартиру, становится нечем дышать. Особенно при этом страдают астматики и больные бронхитом. В дни безветрия при низком атмосферном давлении весь центр города погружается в смог. Спрашивается, неужели этого не видят руководители области? Видят и знают, но, очевидно, предпочитают в такие дни выезжать за город.

Особенностью расположения Челябинска является то, что город по отношению к западным окраинам, где расположены промышленные гиганты ЧМК, ЧЭМК, цинковый завод и др. предприятия, находится ниже на 50-80 метров, что способствует концентрации вредных веществ в его центре. Сюда же надо добавить выбросы автомобильного транспорта, которые особенно гибельны для детей.

Еще 10-15 лет назад с западной части к Челябинску примыкали лиственные и хвойные леса. Они находились на 80-100 м выше расположения города. Постоянно дующие с запада (юго-запада и северо-запада) ветры, проникая через лесные массивы, приносили в Челябинск кислород, очищая загрязненную атмосферу. Сегодня эти леса вырублены.

Формально они входят в зеленую зону Челябинска, где рубки запрещены. Лесопарковая часть зеленой зоны была утверждена еще в 1974 году в границах ныне созданной кольцевой дороги. Но реально лесами этой зоны и ее охраной ни лесники, ни другие ведомства не занимались. Итог налицо! К этому нужно добавить системное уничтожение зеленых насаждений внутри города.

При таких обстоятельствах воздушный бассейн Челябинска также представляет для нас среду скорее агрессивную, нежели благоприятную.

И еще об одной составляющей среды нашего обитания – о земле, точнее, о ее плодородной почве, дающей нам продовольствие.

Большинство прилегающихсельскохозяйственных предприятий, выращивающих картошку и овощи, расположены на северной и северо-восточной окраинах Челябинска и находятся под факелами металлургических и других заводов областного центра. Эти предприятия ежедневно выбрасывают в атмосферу миллионы тонн различных, прежде всего вредных, веществ.

Как свидетельствует комплексный доклад Министерства радиационной и экологической безопасности («Комплексный доклад о состоянии окружающей среды Челябинской области в 2004 году», стр. 98), в составе выбросов этих заводов содержится ряд особо опасных веществ, таких, как бензопирен (объем выбросов этого опасного для здоровья канцерогена по области составил 690 кг; по Челябинску – 444 кг); хром шестивалентный (объем выбросов в атмосферу городов области составил 38,6 т; Челябинске – 36,3 т); ртуть металлическая (объем выбросов в атмосферу Челябинска составил 3,8 т); оксид ванадия (выбросы по области составили 8,5 т); соединения свинца (объем выбросов по области составил 33,0 т). К сожалению, во всех последующих ежегодных комплексных докладах данные по указанным выше особо опасным выбросам почему-то отсутствуют, что никак не может означать их фактическое отсутствие в нашей среде обитания…

Выпадая на землю, эти вредные вещества накапливаются в овощах, которые затем идут на прилавки наших магазинов. Сюда же добавим минеральные удобрения сомнительного свойства, «успешно» используемые китайцами на наших пригородных полях для быстрого выращивания овощей. В результате наши почвы теряют гумус и, по существу, превращаются в безжизненные минералы.

При таком раскладе эту составляющую среды нашего обитания также, очевидно, назвать благоприятной нельзя.

В одном из Государственных докладов Правительству РФ природоохранное министерство провело сравнительный анализ экологического состояния регионов по отдельным показателям. В этом докладе говорилось, что Челябинская область в 1995-2003 гг. по объему ежегодно накопляемых особо токсичных отходов занимала первое место, по загрязнению атмосферы третье место, по загрязнению водных объектов восьмое место. И действительно, сегодня вокруг всех населенных пунктов области и даже в границах городской черты многих городов свалками промышленных и бытовых отходов завалена огромная часть территории. Яркий пример тому – городская свалка в Челябинске; безрезультатная эпопея по ее выносу за черту города и по организации современного полигона по хранению отходов продолжается уже не одно десятилетие...

Наши чиновники от экологии сегодня утверждают, что область значительно отодвинулась от названных выше показателей в лучшую сторону. Насколько?

Известно, что одним из ярких (и главных) индикаторов оценки состояния природной среды является состояние здоровья населения. Чем благоприятнее среда обитания и социальные условия, тем здоровее население, тем выше продолжительность жизни. Сравним. В Японии средняя продолжительность жизни мужчин - 77 лет, в Германии - 75 лет, в России - 62 года, в Челябинской области - 57 лет.

Среднестатистический мужчина в Челябинской области не доживает до пенсии!

Вот некоторые из опубликованных данных о состоянии здоровья населения Челябинской области:

- «…Челябинская область по онкологическим заболеваниям занимает первое место в России. Этот показатель на 25% выше средне-российского. Ежегодно в области заболевают раком 15 тысяч человек и 8 тысяч ежегодно умирает»… (Медицинский Вестник. Изд. Ассоциации Заслуженных врачей РФ, № 1 (6), 2009, Москва);

- «…в Челябинской области на 100 тыс. населения приходится 64 больных туберкулезом. По нормам Всемирной организации здравоохранения, если число больных туберкулезом превышает 50 на 100 тысяч населения, это считается эпидемией;

- в Челябинской области число хроников достигло уже 30% от общего числа больных. Они живут бок о бок со здоровыми, и каждый может заразиться туберкулезом, просто постояв рядом с больным в троллейбусе («Челябинский рабочий», 20.04. 2009 г.);

- в Челябинской области болезни системы кровообращения лидируют в структуре причин смертности населения. На них приходится 53% смертей. Особенно тревожно то, что более трети умерших от сердечных болезней составляют люди в трудоспособном возрасте.

По данным областного Министерства здравоохранения, численность населения Челябинской области за 10 лет сократилась на 140 тысяч человек – это 4% от общего числа населения. С каждым годом южноуральцев становится меньше на 20-25 тысяч человек. То есть с карты области ежегодно исчезает население такого района, как Уйский или Чесменский. Главные из причин, считают медики, - существование социально-психологических причин наряду с общеизвестными факторами (курение, неправильное питание, алкоголь и т.д.). При этом медицинская помощь кардиологическим больным на Южном Урале оказывается в неполном объеме.

По словам начальника отдела стратегического планирования и развития системы здравоохранения Минздрава Челябинской области Андрея Соевца (по данным ВОЗ), ежегодно на 1 млн. жителей Земли необходимо делать около тысячи операций на сердце и сосудах, а у нас эта цифра в три раза меньше.

Этот краткий обзор состояния окружающей природной среды и здоровья челябинцев дает основания утверждать – мы живем в агрессивной среде.

Как и кто примет меры, чтобы это изменить?

Что необходимо сделать срочно.

- Правительству Челябинской области выделить средства и заказать разработку проекта водоохраной зоны Шершневского, Аргазинского водохранилищ и реки Миасс. Принять реальные меры по обеспечению охраны этой зоны. Остановить во втором поясе ЗСО строительные и сельскохозяйственные работы, облесить западный берег Шершневского водохранилища. На особый контроль взять пуск Полетаевских и Кулуевских очистных сооружений.

- Правительству области выделить средства и заказать индивидуальный проект (так положено по ГОСТу) оборудования зеленой зоны Челябинска и обеспечить ее охрану. Восстановить вырубленные леса зеленой зоны. Подтвердить запрет отвода под коллективные сады и коттеджные поселки лесных земель зеленой зоны Челябинска.

На более далекую перспективу:

- разработать проект выноса птицефабрики в Бутаках за пределы границы 2-го пояса ЗСО Шершневского водохранилища;

- разработать проект выноса ЧЭМК за пределы городской черты Челябинска (хватит травить людей!).

Для реализации таких предложений нужны политические решения. Хватит ли силы воли и твердости духа на это у руководителей области?

Национальная идея, поиском которой озабочены все, включая президента страны, лежит на поверхности: возрождение России, русского народа, его здоровья, традиций и культуры. И это возрождение должно иметь четкий план. Ибо Россия просто вымрет! Члены Российского экологического союза А.С. Матвеев, заслуженный эколог РФ, член-корреспондент Петровской академии науки и искусства Н.Т. Шеремет, отличник охраны природы РФ, кандидат педагогических наук

P.S. В Челябинске строится много великолепных медицинских учреждений – онкологический диспансер, кардиологический центр, Центр позитронной эмиссионной томографии и др. В их строительство и освоение вкладываются огромные средства. Все эти мощные учреждения работают на излечение последствий заболеваний. И хорошо!

Но почему так мало делается в области для устранения причин этих заболеваний?

Почему до сих пор не оформлены и не имеют реального режима зоны санитарной охраны источники питьевого водоснабжения городов, в том числе Челябинска?

Почему в аварийном состоянии находятся очистные сооружения в том же Челябинске (река Миасс ниже Челябинска – зловонная клоака)?

Почему в бесхозном состоянии находятся многие гидротехнические сооружения?

Почему до сих пор не созданы и не оформлены надлежащие режимы охраны зеленых зон городов, в том числе Челябинска?

Почему до сих пор не положен конец пиратским выбросам в атмосферу ядовитых веществ металлургическими и другими заводами?

И таких вопросов много, но отвечать на них конкретно, кроме различных пустых заверений, не хочет никто: ни правительство области, ни его министры.

Общий ответ на все вопросы звучит так: «нет средств».

Но возникает вопрос: почему соседний Башкортостан, имея такие же вредные производства, добивается в правительстве России снижения отчислений в федеральный бюджет от своих доходов и отдает туда в несколько раз меньше, чем платит сегодня Челябинская область? Сохранившиеся в Башкортостане средства идут на оздоровление его граждан.

И вот пример. За пять лет в Башкортостане введено, как сообщил начальник управления по туризму Челябинской области А.Г. Филиппов, 8 тысяч курортных койко-мест (Всероссийская научно-практическая конференция «Качество жизни как философия создания бренда успешной территории», 8-9.04. 2009 г.), в Челябинской области за это же время – ни одного!

Проблемы района

Как всё-таки прав был поэт-классик, когда писал о России, что и умом её не понять, и аршином общим не измерить, - не вписываемся мы в мировые стандарты! Ни в прошлые века, ни в веке нынешнем. Демографическая ситуация – тому подтверждение. Она держится на трёх «китах» - рождаемости, смертности и миграции. Рассмотрим наш Ступинский район – все эти показатели «зашкаливают».

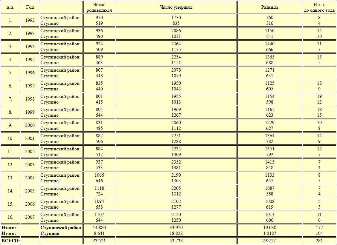
В нашем распоряжении оказались данные по динамике демографической ситуации в Ступинском районе за 1992-2007 гг. (см. таблицу).

За время реформ, начатых в девяностые годы, по настоящее время (с 1992 по 2007 гг.), в Ступинском районе умерло 53 738 человек, что сопоставимо с населением почти целого города Ступино. Превышение смертности над рождаемостью за тот же период составило 29 217 человек, что равно почти половине города Ступино. Только за минувший год район потерял 3370 человек, а родилось детей только 1 751. Как видно из таблицы, соотношение смертности и рождаемости 2 к 1 – величина для Ступинского района практически постоянная, начиная с 1992 года. Средний показатель по России в 2006 году составил 1,6.

Для России характерно, что 63% ушедших из жизни – трудоспособного возраста. И мужчин среди них больше, чем женщин. По сравнению с европейскими странами мужская смертность у нас в 10 (!) раз выше, женская – более чем в 4. Умирают в основном от неестественных причин, среди которых преобладают сердечно-сосудистая патология, травмы и отравления, онкологические заболевания. Страна постепенно приобретает матриархатно-вдовий уклон (53,5% женщин и 46,5% мужчин).

К тому же население стремительно стареет. Более 20% люди старше 60 лет. Это чревато демографической перегрузкой на трудоспособное население. Уже сейчас на каждые 100 работающих граждан приходится 26 детей и 32 пожилых человека. По прогнозам Всемирного банка, к 2025 году соотношение может достигнуть угрожающего уровня – 35 детей и 49 стариков. Такого феномена нет нигде в мире. А надежды на рост рождаемости не вселяют оптимизма.

Суммарный коэффициент рождаемости, представляющий число детей, рождённых в среднем от одной женщины, в России равен 1,34, а для простого воспроизводства населения необходимо не менее 2,15. (Между прочим, в двадцатые годы прошлого века на каждую женщину приходилось по 6 новорождённых.) Налицо, как говорят медики, репродуктивная деградация. При этом число абортов в стране на 151 тысячу превышает число рождений. И это тоже один из феноменов современной России.

Помимо высокой смертности, низкой рождаемости и старения населения негативное влияние на демографическую ситуацию в стране оказывает также ухудшение его здоровья, небольшая продолжительность жизни и уменьшение прироста иммигрантов.

Поскольку таких данных по Ступинскому району у нас нет (кроме указанных в таблице), то можно предположить, что в Ступинском районе дела обстоят ещё хуже. Редколлегия газеты «Боевое Братство. Юг Подмосковья» считает, что назрела острая необходимость провести «круглый стол» по проблемам демографической ситуации в Ступинском районе с целью привлечения широкой общественности района и выработки решений по её выправлению. И мы предлагаем это сделать депутатам Ступинского районного, городского и сельских Советов депутатов уже в текущем году. Редколлегия газеты «Боевое братство. Юг Подмосковья»