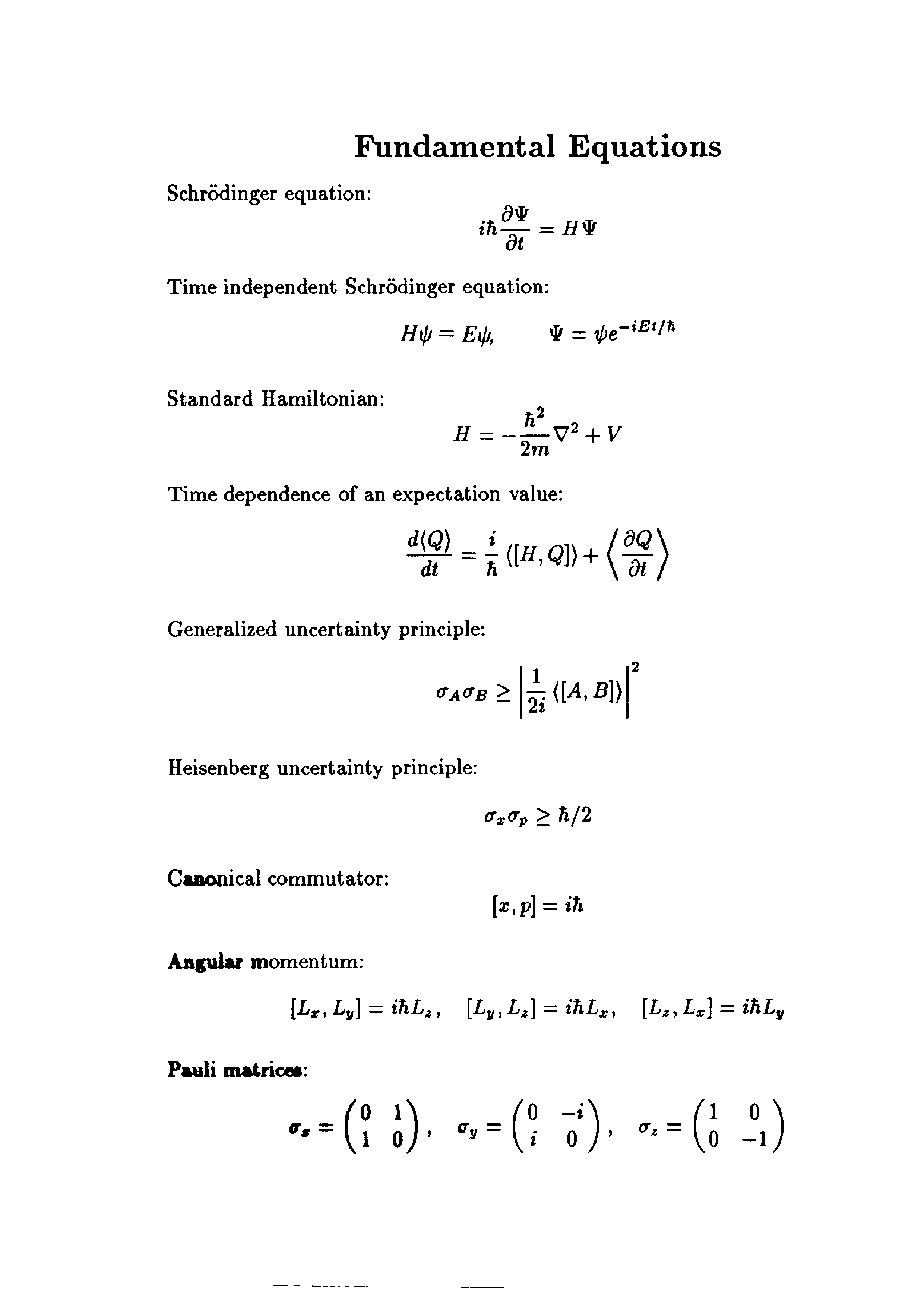
"Introduction to Quantum Mechanics" - читать интересную книгу автора (David J. Griffiths)