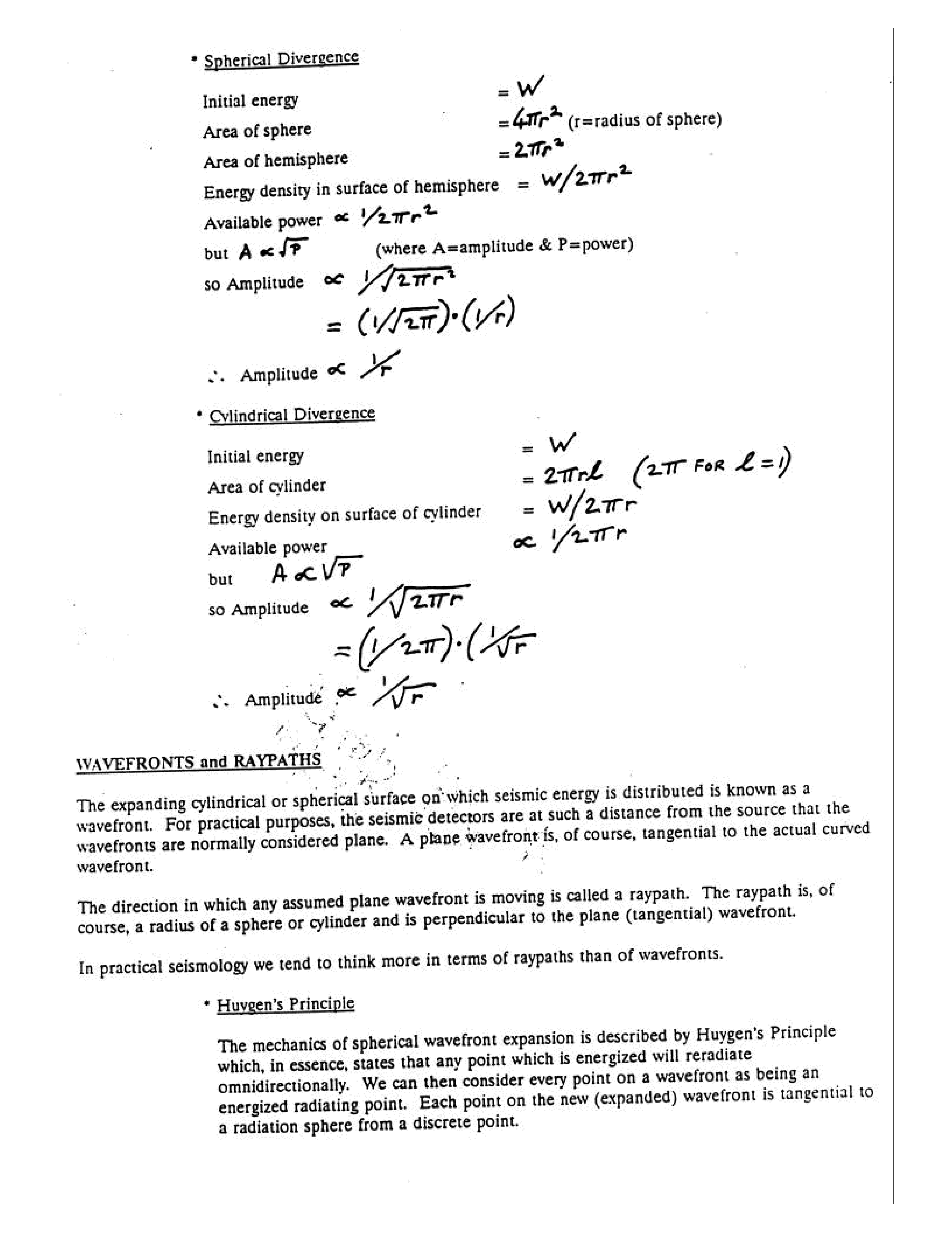
"Seismic Data Acquisition" - читать интересную книгу автора (D. G. Peter Lang)